您的浏览器禁用了脚本运行,请打开脚本在尝试!
收藏本站 关于我们
手机版

扫描二维码,手机浏览

加入VIP
微信公众号

关注微信公众号
获取更多前沿资料

智巧工厂远程管理系统设计 Design of Remote Management System for Smart Factory 国际互联网、广播与通讯期刊,2020年,13页

浏览:334 发行时间:2022/2/4 16:32:00
文档下载
60.00 VIP免费下载
  • 账号等级:vip3普通账号
  • 免费下载数量:0个
  • 优惠折扣:无 升级VIP
支付后下载,请选择支付方式:
文档信息
发行时间:0001.01.01
总页数:13
编辑:综保科技
摘要:
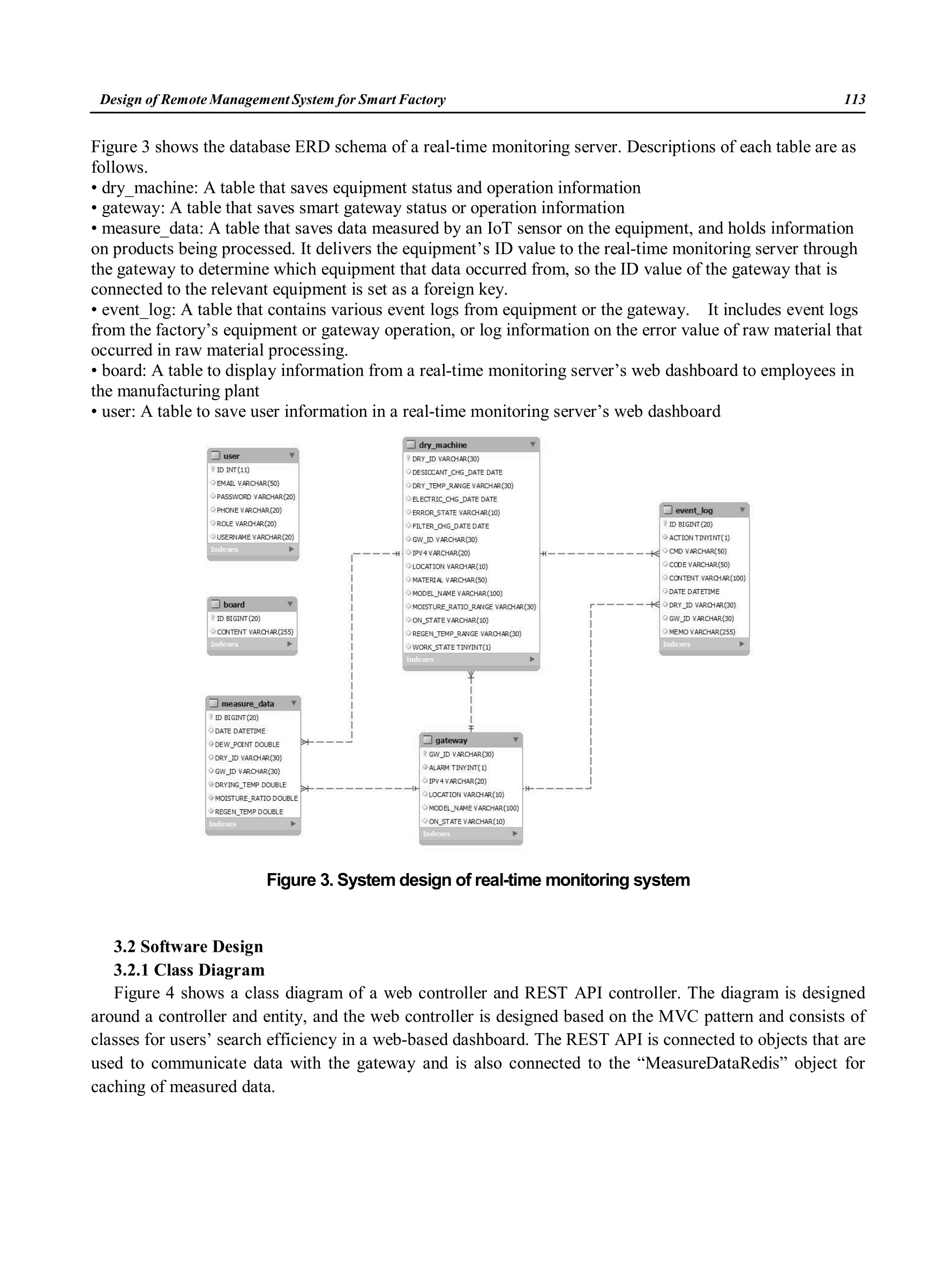
International Journal of Internet, Broadcasting and Communication Vol.12 No.4 109-121 (2020) http://dx.doi.org/10.7236/IJIBC.2020.12.4.109 IJIBC 20-4-14 Design of Remote Management System for Smart Factory Heejoung Hwang Professor, Dept. of Computer Engineering, Gachon University, KOREA hwanghj@gachon.ac.kr Abstract As a decrease in labor became a serious issue in the manufacturing industry, smart factory technology, which combines IT and the manufacturing business, began to attract atte...